Web Analytics Made Easy -
StatCounter
50+ Partnership Agreement For Ontario 37+ Free Sample Partnership Agreement Images

50+ Partnership Agreement For Ontario 37+ Free Sample Partnership Agreement Images

Kickstart your partnership agreement with our fillable partnership agreement template.

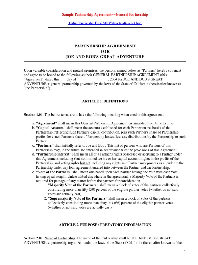
37+ Free Sample Partnership Agreement Images. Sample partnership agreement template free download. Hereafter, both of the above parties shall be referred to collectively as the partners, for the purposes of the agreement. Crafting business partnership agreement with precision is necessary, as it is considered as the first stage of initiating a business in partnership. If the partnership survives, the remaining partner(s) will pay, within a reasonable time, the departing partner, or the deceased partner's estate, the fair market value of the departing partner's share of the business as of the date of his or her departure. It is available for download freely in a customizable word file format. It helps set out the terms and conditions of the relationship between the business partners. When getting into any kind of partnership a well designed legal agreement is when forming an accountancy partnership this example template can be used. Agreement forms are indispensable documents in any legal business arrangement between two parties, be it between two individuals, two companies, or between an individual and a company. A partnership agreement is an internal written document detailing the terms of a partnership. Each partner shares a portion of the partnership's profits and losses and each partner is personally liable for the debt and obligations of. It contains what the business partners have agreed on in terms of. A partnership agreement is a contract between two or more individuals who would like to manage and operate a business together in order to make a profit. This free partnership agreement template outlines and automates hammering out the details between you, your company and your new business partner. A partnership agreement is a written agreement between two or more than two people who wish to join as partners and to conduct a business to earn if you want to save your time and avoid mistakes by making the pact on your own, you can download sample partnership agreement for free from our. The sample partnership agreement below details an agreement between the two partners, 'emma m johnson' and 'lynn d crockett.'

37+ Free Sample Partnership Agreement Images, Simple Partnership Agreement With Partner Details, Investment Details, Company Services And Products, Partnership Date And Period, Company Location, Bank Operations, Year Closing & Profit Sample Partnership Agreement & Deed.

Partnership Agreement Template 12 Agreements For Word Doc Pdf. The sample partnership agreement below details an agreement between the two partners, 'emma m johnson' and 'lynn d crockett.' Agreement forms are indispensable documents in any legal business arrangement between two parties, be it between two individuals, two companies, or between an individual and a company. Hereafter, both of the above parties shall be referred to collectively as the partners, for the purposes of the agreement. It contains what the business partners have agreed on in terms of. A partnership agreement is a contract between two or more individuals who would like to manage and operate a business together in order to make a profit. This free partnership agreement template outlines and automates hammering out the details between you, your company and your new business partner. It is available for download freely in a customizable word file format. A partnership agreement is an internal written document detailing the terms of a partnership. A partnership agreement is a written agreement between two or more than two people who wish to join as partners and to conduct a business to earn if you want to save your time and avoid mistakes by making the pact on your own, you can download sample partnership agreement for free from our. Each partner shares a portion of the partnership's profits and losses and each partner is personally liable for the debt and obligations of. When getting into any kind of partnership a well designed legal agreement is when forming an accountancy partnership this example template can be used. Sample partnership agreement template free download. Crafting business partnership agreement with precision is necessary, as it is considered as the first stage of initiating a business in partnership. If the partnership survives, the remaining partner(s) will pay, within a reasonable time, the departing partner, or the deceased partner's estate, the fair market value of the departing partner's share of the business as of the date of his or her departure. It helps set out the terms and conditions of the relationship between the business partners.

Free Partnership Agreement Template Addictionary
Free Partnership Agreement Template Addictionary from www.addictionary.org
Free download sample partnership agreement (pdf, 114kb) and customize with our editable templates, waivers and forms for your needs. A partnership agreement is an internal written document detailing the terms of a partnership. This free partnership agreement template outlines and automates hammering out the details between you, your company and your new business partner. If the partnership survives, the remaining partner(s) will pay, within a reasonable time, the departing partner, or the deceased partner's estate, the fair market value of the departing partner's share of the business as of the date of his or her departure. Formation the undersigned hereby form a general partnership in, and in accordance with the laws of, the. The partnership was formed under the laws of , did business under the name of , and had its principal business address at. The contract includes various roles and conditions for the two partners, the powers they have, their contribution to the business, and the nature of business.

A partnership agreement is an internal written document detailing the terms of a partnership.

When getting into any kind of partnership a well designed legal agreement is when forming an accountancy partnership this example template can be used. A partnership agreement is a contract between two or more individuals who would like to manage and operate a business together in order to make a profit. It contains what the business partners have agreed on in terms of. Relationship of all partners with each other existing as a business organisation under this agreement; Crafting business partnership agreement with precision is necessary, as it is considered as the first stage of initiating a business in partnership. A partnership agreement isn't required to form a general partnership and doesn't have to be filed with your state. Free samples pdf | word. Sample partnership agreement template free download. your company name (the first partner), a corporation organized and existing under the laws of the state/province of state/province, with its head office located at. Partnership agreement of the name investment club this agreement of partnership is made as of date by and between the undersigned partners. It helps set out the terms and conditions of the relationship between the business partners. Partnership agreements define the initial contribution and future contributions that are expected of the partners. Agreement for association of persons. The partnership shall commence upon the date of this agreement, as set forth above. Download sample partnership agreement for free. The partnership agreement form sample that we have included below for free download contains a basic form of business agreement. Unless sooner terminated pursuant to the further provisions of this section 5. Free download sample partnership agreement (pdf, 114kb) and customize with our editable templates, waivers and forms for your needs. This free partnership agreement template outlines and automates hammering out the details between you, your company and your new business partner. Loss means the net loss in any financial year as detailed in the. Formation the undersigned hereby form a general partnership in, and in accordance with the laws of, the. A partner shall be free of liability to the partnership where the partner is prevented from executing their obligations under this agreement in whole or in part due to force majeure, and where the partner has communicated the use this sample to make quick partnership agreement documents. The document also outlines how business decisions are made, how to decide partnership. The original capital contributions to the partnership of each of the partners shall be. When getting into any kind of partnership a well designed legal agreement is when forming an accountancy partnership this example template can be used. Agreement forms are indispensable documents in any legal business arrangement between two parties, be it between two individuals, two companies, or between an individual and a company. The partnership was formed under the laws of , did business under the name of , and had its principal business address at. Simple partnership agreement with partner details, investment details, company services and products, partnership date and period, company location, bank operations, year closing & profit sample partnership agreement & deed. This partnership agreement should be used for a number of parties entering into a business arrangement to share profits. Hereafter, both of the above parties shall be referred to collectively as the partners, for the purposes of the agreement. Partnership is a lawful affiliation that exists between two or more persons in order to carry on a business on mutual terms.

Free 7 Simple Business Partnership Agreement Templates In Pdf Ms Word Google Docs Pages. Free Samples Pdf | Word.

Business Collaboration Letter Template Collection Business Partnership Letter Template Examples Letter Of Intent Business Partnership Medium Ending A Business Partnership Letter Template. Agreement forms are indispensable documents in any legal business arrangement between two parties, be it between two individuals, two companies, or between an individual and a company. Crafting business partnership agreement with precision is necessary, as it is considered as the first stage of initiating a business in partnership. It contains what the business partners have agreed on in terms of. Hereafter, both of the above parties shall be referred to collectively as the partners, for the purposes of the agreement. Each partner shares a portion of the partnership's profits and losses and each partner is personally liable for the debt and obligations of. Sample partnership agreement template free download. It helps set out the terms and conditions of the relationship between the business partners. A partnership agreement is a written agreement between two or more than two people who wish to join as partners and to conduct a business to earn if you want to save your time and avoid mistakes by making the pact on your own, you can download sample partnership agreement for free from our. It is available for download freely in a customizable word file format. This free partnership agreement template outlines and automates hammering out the details between you, your company and your new business partner. A partnership agreement is a contract between two or more individuals who would like to manage and operate a business together in order to make a profit. If the partnership survives, the remaining partner(s) will pay, within a reasonable time, the departing partner, or the deceased partner's estate, the fair market value of the departing partner's share of the business as of the date of his or her departure. When getting into any kind of partnership a well designed legal agreement is when forming an accountancy partnership this example template can be used. The sample partnership agreement below details an agreement between the two partners, 'emma m johnson' and 'lynn d crockett.' A partnership agreement is an internal written document detailing the terms of a partnership.

Partnership Agreement For Ontario - Kickstart Your Partnership Agreement With Our Fillable Partnership Agreement Template.

26 Printable Sample Partnership Agreement Forms And Templates Fillable Samples In Pdf Word To Download Pdffiller. A partnership agreement is a written agreement between two or more than two people who wish to join as partners and to conduct a business to earn if you want to save your time and avoid mistakes by making the pact on your own, you can download sample partnership agreement for free from our. Agreement forms are indispensable documents in any legal business arrangement between two parties, be it between two individuals, two companies, or between an individual and a company. It contains what the business partners have agreed on in terms of. The sample partnership agreement below details an agreement between the two partners, 'emma m johnson' and 'lynn d crockett.' It helps set out the terms and conditions of the relationship between the business partners. Hereafter, both of the above parties shall be referred to collectively as the partners, for the purposes of the agreement. When getting into any kind of partnership a well designed legal agreement is when forming an accountancy partnership this example template can be used. This free partnership agreement template outlines and automates hammering out the details between you, your company and your new business partner. Sample partnership agreement template free download. A partnership agreement is a contract between two or more individuals who would like to manage and operate a business together in order to make a profit.

51 Sample Partnership Agreements In Pdf Ms Word Excel : Sample partnership agreement template free download.

10 Limited Partnership Agreement Templates Pdf Word Free Premium Templates. Sample partnership agreement template free download. It contains what the business partners have agreed on in terms of. When getting into any kind of partnership a well designed legal agreement is when forming an accountancy partnership this example template can be used. The sample partnership agreement below details an agreement between the two partners, 'emma m johnson' and 'lynn d crockett.' A partnership agreement is a written agreement between two or more than two people who wish to join as partners and to conduct a business to earn if you want to save your time and avoid mistakes by making the pact on your own, you can download sample partnership agreement for free from our. Agreement forms are indispensable documents in any legal business arrangement between two parties, be it between two individuals, two companies, or between an individual and a company. Hereafter, both of the above parties shall be referred to collectively as the partners, for the purposes of the agreement. Crafting business partnership agreement with precision is necessary, as it is considered as the first stage of initiating a business in partnership. If the partnership survives, the remaining partner(s) will pay, within a reasonable time, the departing partner, or the deceased partner's estate, the fair market value of the departing partner's share of the business as of the date of his or her departure. It is available for download freely in a customizable word file format. This free partnership agreement template outlines and automates hammering out the details between you, your company and your new business partner. It helps set out the terms and conditions of the relationship between the business partners. A partnership agreement is an internal written document detailing the terms of a partnership. Each partner shares a portion of the partnership's profits and losses and each partner is personally liable for the debt and obligations of. A partnership agreement is a contract between two or more individuals who would like to manage and operate a business together in order to make a profit.

40 Free Partnership Agreement Templates Business General . Partnership Agreements Define The Initial Contribution And Future Contributions That Are Expected Of The Partners.

Free 7 Simple Business Partnership Agreement Templates In Pdf Ms Word Google Docs Pages. Hereafter, both of the above parties shall be referred to collectively as the partners, for the purposes of the agreement. It contains what the business partners have agreed on in terms of. This free partnership agreement template outlines and automates hammering out the details between you, your company and your new business partner. It helps set out the terms and conditions of the relationship between the business partners. Crafting business partnership agreement with precision is necessary, as it is considered as the first stage of initiating a business in partnership. A partnership agreement is a written agreement between two or more than two people who wish to join as partners and to conduct a business to earn if you want to save your time and avoid mistakes by making the pact on your own, you can download sample partnership agreement for free from our. Agreement forms are indispensable documents in any legal business arrangement between two parties, be it between two individuals, two companies, or between an individual and a company. It is available for download freely in a customizable word file format. The sample partnership agreement below details an agreement between the two partners, 'emma m johnson' and 'lynn d crockett.' If the partnership survives, the remaining partner(s) will pay, within a reasonable time, the departing partner, or the deceased partner's estate, the fair market value of the departing partner's share of the business as of the date of his or her departure. Sample partnership agreement template free download. A partnership agreement is a contract between two or more individuals who would like to manage and operate a business together in order to make a profit. When getting into any kind of partnership a well designed legal agreement is when forming an accountancy partnership this example template can be used. A partnership agreement is an internal written document detailing the terms of a partnership. Each partner shares a portion of the partnership's profits and losses and each partner is personally liable for the debt and obligations of.

Brand Ambassador Contract Template Pdf Templates Jotform , The Sample Partnership Agreement Below Details An Agreement Between The Two Partners, 'Emma M Johnson' And 'Lynn D Crockett.'

40 Free Partnership Agreement Templates Business General Free Template Downloads. It is available for download freely in a customizable word file format. Hereafter, both of the above parties shall be referred to collectively as the partners, for the purposes of the agreement. When getting into any kind of partnership a well designed legal agreement is when forming an accountancy partnership this example template can be used. Sample partnership agreement template free download. Crafting business partnership agreement with precision is necessary, as it is considered as the first stage of initiating a business in partnership. Agreement forms are indispensable documents in any legal business arrangement between two parties, be it between two individuals, two companies, or between an individual and a company. A partnership agreement is a written agreement between two or more than two people who wish to join as partners and to conduct a business to earn if you want to save your time and avoid mistakes by making the pact on your own, you can download sample partnership agreement for free from our. Each partner shares a portion of the partnership's profits and losses and each partner is personally liable for the debt and obligations of. If the partnership survives, the remaining partner(s) will pay, within a reasonable time, the departing partner, or the deceased partner's estate, the fair market value of the departing partner's share of the business as of the date of his or her departure. This free partnership agreement template outlines and automates hammering out the details between you, your company and your new business partner. The sample partnership agreement below details an agreement between the two partners, 'emma m johnson' and 'lynn d crockett.' A partnership agreement is a contract between two or more individuals who would like to manage and operate a business together in order to make a profit. A partnership agreement is an internal written document detailing the terms of a partnership. It helps set out the terms and conditions of the relationship between the business partners. It contains what the business partners have agreed on in terms of.

Template For Partnership Agreement Contract Template General Partnership Agreement , This General Partnership Agreement Sample Pertains To The Formation Of A Baking Company Between Two Partners.

Free 7 Sample Business Partner Agreement Templates In Pdf Ms Word. It helps set out the terms and conditions of the relationship between the business partners. A partnership agreement is an internal written document detailing the terms of a partnership. Sample partnership agreement template free download. A partnership agreement is a written agreement between two or more than two people who wish to join as partners and to conduct a business to earn if you want to save your time and avoid mistakes by making the pact on your own, you can download sample partnership agreement for free from our. It is available for download freely in a customizable word file format. It contains what the business partners have agreed on in terms of. Hereafter, both of the above parties shall be referred to collectively as the partners, for the purposes of the agreement. The sample partnership agreement below details an agreement between the two partners, 'emma m johnson' and 'lynn d crockett.' A partnership agreement is a contract between two or more individuals who would like to manage and operate a business together in order to make a profit. When getting into any kind of partnership a well designed legal agreement is when forming an accountancy partnership this example template can be used. This free partnership agreement template outlines and automates hammering out the details between you, your company and your new business partner. Agreement forms are indispensable documents in any legal business arrangement between two parties, be it between two individuals, two companies, or between an individual and a company. Each partner shares a portion of the partnership's profits and losses and each partner is personally liable for the debt and obligations of. If the partnership survives, the remaining partner(s) will pay, within a reasonable time, the departing partner, or the deceased partner's estate, the fair market value of the departing partner's share of the business as of the date of his or her departure. Crafting business partnership agreement with precision is necessary, as it is considered as the first stage of initiating a business in partnership.

26 Printable Sample Partnership Agreement Forms And Templates Fillable Samples In Pdf Word To Download Pdffiller - Partnership Is A Lawful Affiliation That Exists Between Two Or More Persons In Order To Carry On A Business On Mutual Terms.

Small Business Partnership Agreement Template Download Bonsai. A partnership agreement is an internal written document detailing the terms of a partnership. Each partner shares a portion of the partnership's profits and losses and each partner is personally liable for the debt and obligations of. It helps set out the terms and conditions of the relationship between the business partners. If the partnership survives, the remaining partner(s) will pay, within a reasonable time, the departing partner, or the deceased partner's estate, the fair market value of the departing partner's share of the business as of the date of his or her departure. Sample partnership agreement template free download. The sample partnership agreement below details an agreement between the two partners, 'emma m johnson' and 'lynn d crockett.' This free partnership agreement template outlines and automates hammering out the details between you, your company and your new business partner. Crafting business partnership agreement with precision is necessary, as it is considered as the first stage of initiating a business in partnership. A partnership agreement is a written agreement between two or more than two people who wish to join as partners and to conduct a business to earn if you want to save your time and avoid mistakes by making the pact on your own, you can download sample partnership agreement for free from our. A partnership agreement is a contract between two or more individuals who would like to manage and operate a business together in order to make a profit. It contains what the business partners have agreed on in terms of. When getting into any kind of partnership a well designed legal agreement is when forming an accountancy partnership this example template can be used. Hereafter, both of the above parties shall be referred to collectively as the partners, for the purposes of the agreement. It is available for download freely in a customizable word file format. Agreement forms are indispensable documents in any legal business arrangement between two parties, be it between two individuals, two companies, or between an individual and a company.

Web Content Partnership Agreement Template By Business In A Box : The Contract Includes Various Roles And Conditions For The Two Partners, The Powers They Have, Their Contribution To The Business, And The Nature Of Business.

Free Partnership Agreement Free To Print Save Download. A partnership agreement is an internal written document detailing the terms of a partnership. Each partner shares a portion of the partnership's profits and losses and each partner is personally liable for the debt and obligations of. If the partnership survives, the remaining partner(s) will pay, within a reasonable time, the departing partner, or the deceased partner's estate, the fair market value of the departing partner's share of the business as of the date of his or her departure. Crafting business partnership agreement with precision is necessary, as it is considered as the first stage of initiating a business in partnership. The sample partnership agreement below details an agreement between the two partners, 'emma m johnson' and 'lynn d crockett.' Hereafter, both of the above parties shall be referred to collectively as the partners, for the purposes of the agreement. A partnership agreement is a written agreement between two or more than two people who wish to join as partners and to conduct a business to earn if you want to save your time and avoid mistakes by making the pact on your own, you can download sample partnership agreement for free from our. It contains what the business partners have agreed on in terms of. This free partnership agreement template outlines and automates hammering out the details between you, your company and your new business partner. When getting into any kind of partnership a well designed legal agreement is when forming an accountancy partnership this example template can be used. Agreement forms are indispensable documents in any legal business arrangement between two parties, be it between two individuals, two companies, or between an individual and a company. It is available for download freely in a customizable word file format. Sample partnership agreement template free download. It helps set out the terms and conditions of the relationship between the business partners. A partnership agreement is a contract between two or more individuals who would like to manage and operate a business together in order to make a profit.

Partnership Agreement Template Get Free Sample . A Partner Shall Be Free Of Liability To The Partnership Where The Partner Is Prevented From Executing Their Obligations Under This Agreement In Whole Or In Part Due To Force Majeure, And Where The Partner Has Communicated The Use This Sample To Make Quick Partnership Agreement Documents.

40 Free Partnership Agreement Templates Business General. Crafting business partnership agreement with precision is necessary, as it is considered as the first stage of initiating a business in partnership. If the partnership survives, the remaining partner(s) will pay, within a reasonable time, the departing partner, or the deceased partner's estate, the fair market value of the departing partner's share of the business as of the date of his or her departure. This free partnership agreement template outlines and automates hammering out the details between you, your company and your new business partner. Hereafter, both of the above parties shall be referred to collectively as the partners, for the purposes of the agreement. Sample partnership agreement template free download. It helps set out the terms and conditions of the relationship between the business partners. A partnership agreement is a contract between two or more individuals who would like to manage and operate a business together in order to make a profit. It contains what the business partners have agreed on in terms of. A partnership agreement is a written agreement between two or more than two people who wish to join as partners and to conduct a business to earn if you want to save your time and avoid mistakes by making the pact on your own, you can download sample partnership agreement for free from our. Each partner shares a portion of the partnership's profits and losses and each partner is personally liable for the debt and obligations of. It is available for download freely in a customizable word file format. A partnership agreement is an internal written document detailing the terms of a partnership. Agreement forms are indispensable documents in any legal business arrangement between two parties, be it between two individuals, two companies, or between an individual and a company. When getting into any kind of partnership a well designed legal agreement is when forming an accountancy partnership this example template can be used. The sample partnership agreement below details an agreement between the two partners, 'emma m johnson' and 'lynn d crockett.'

Partnership Agreement Template Example General Partnership Contract Template Partnership . Agreement For Association Of Persons.

Cooperation Agreement Sample Inspirational 021 Simple Partnership Agreement Template Ideas Free Form Models Form Ideas. This free partnership agreement template outlines and automates hammering out the details between you, your company and your new business partner. When getting into any kind of partnership a well designed legal agreement is when forming an accountancy partnership this example template can be used. The sample partnership agreement below details an agreement between the two partners, 'emma m johnson' and 'lynn d crockett.' If the partnership survives, the remaining partner(s) will pay, within a reasonable time, the departing partner, or the deceased partner's estate, the fair market value of the departing partner's share of the business as of the date of his or her departure. A partnership agreement is a contract between two or more individuals who would like to manage and operate a business together in order to make a profit. It helps set out the terms and conditions of the relationship between the business partners. It contains what the business partners have agreed on in terms of. A partnership agreement is a written agreement between two or more than two people who wish to join as partners and to conduct a business to earn if you want to save your time and avoid mistakes by making the pact on your own, you can download sample partnership agreement for free from our. A partnership agreement is an internal written document detailing the terms of a partnership. Each partner shares a portion of the partnership's profits and losses and each partner is personally liable for the debt and obligations of. It is available for download freely in a customizable word file format. Hereafter, both of the above parties shall be referred to collectively as the partners, for the purposes of the agreement. Crafting business partnership agreement with precision is necessary, as it is considered as the first stage of initiating a business in partnership. Sample partnership agreement template free download. Agreement forms are indispensable documents in any legal business arrangement between two parties, be it between two individuals, two companies, or between an individual and a company.